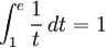
|
Leonard Paul Ojler
Leonard Paul Ojler (nem. Leonhard Paul Euler,
15. april 1707. - 18. septembar 1783) je bio švajcarski matematičar
i fizičar. Živeo je i radio u Berlinu i Petrogradu.
Ojler je došao do velikih otkrića u potpuno različitim oblastima kao što
su matematička analiza i teorija grafova. Uveo je u upotrebu veliki broj
termina koji se koriste u savremenoj matematici i unapredio matematičku
notaciju, posebno u okviru analize. Njemu dugujemo savremeni zapis matematičke
funkcije. Značajan doprinos dao je i na poljima mehanike, optike i astronomije.
Smatra se da je Ojler jedan od vrlo značajnih matematičara 18. veka i
među najvećim matematičarima svih vremena. Takođe je i jedan od najplodonosnijih
- sačuvano je oko 900 njegovih radova. Laplasove reči:
“ Čitajte Ojlera, čitajte Ojlera, to je naš zajednički
učitelj. “
najbolje pokazuju Ojlerov uticaj na matematiku.
Ojlerov lik je nekoliko puta štampan na poštanskim markicama u Švajcarskoj,
Nemačkoj i Rusiji, a asteroid 2002 Ojler je dobio ime u njegovu čast.
Luteranska crkva ga je uvrstila u svoj kalendar svetaca. Sećanju na Ojlera
su posvetili 24. maj.
Biografija Leonarda Paula Ojlera
Detinjstvo i mladost
Ojler
je rođen u Bazelu, kao prvo dete Paula Ojlera, sveštenika
Reformatorske crkve, i Margarite Bruker, koja je takođe potekla
iz svešteničke porodice. Imao je dve mlađe sestre, Anu Mariju i Mariju
Magdalenu. Ubrzo po Ojlerovom rođenju, porodica se iz Bazela preselila
u Rien, gde će Leonard provesti veći deo svog detinjstva. Paul Ojler je
bio prijatelj sa porodicom Bernuli, što je omogućilo da Johan Bernuli,
koji je u svoje vreme smatran za najvažnijeg evropskog matematičara, izvrši
značajan uticaj na mladog Ojlera.
Ojlerovo rano formalno obrazovanje je započelo u Bazelu, gde je poslat
da živi sa svojom bakom po majci. Sa trinaest godina se upisao na Univerzitet
u Bazelu, a 1723. godine je diplomirao sa radom u kome je upoređivao filozofiju
Dekarta sa filozofijom Isaka Njutna. U isto vreme je subotom popodne išao
na časove kod Johana Bernulija, koji je brzo utvrdio da njegov novi učenik
ima neverovatan talenat za matematiku. U to vreme Ojler je izučavao teologiju,
grčki i hebrejski jezik, da bi, na insistiranje svoga oca, postao sveštenik.
Međutim, Johan Bernuli je ubedio Paula Ojlera da je njegov sin predodređen
da postane veliki matematičar.
Ojler je 1726. godine završio svoju doktorsku tezu o širenju zvuka, pod
nazivom O zvuku (De Sono) a već 1727. godine učestvovao je na takmičenju
koje je organizovala Francuska akademija nauka. Te godine nagradni problem
pariske akademije bio je da se pronađe najbolje mesto za postavljanje
jarbola na brodu. Osvojio je drugo mesto, a nagradu je dobio Pjer Buger,
čovek koji je danas poznat kao „konstruktor ratne mornarice“. Ojler je
kasnije postao dobitnik ove prestižne godišnje nagrade dvanaest puta u
svojoj karijeri.
Petrograd
Upravo u to vreme, Danijel i Nikolaus Bernuli, Johanovi sinovi, radili
su na Carskoj ruskoj akademiji nauka u Petrogradu. Nikolaus je umro od
zapaljenja slepog creva u julu 1726. godine, posle godinu dana provedenih
u Rusiji. Kada je na njegovu poziciju na matematičko-fizičkom odseku prešao
Danijel, kandidat za upražnjeno mesto na odseku za psihologiju je, na
Danijelovu preporuku, postao upravo Ojler. U novembru 1726. godine Ojler
je žudno prihvatio ponudu, ali je odložio putovanje za Petrograd da bi
bezuspešno konkurisao za mesto profesora fizike na Univerzitetu u Bazelu.
Petrogradska Akademija, koju je osnovao Petar Veliki, bila je zamišljena
kao sredstvo kojim bi se poboljšalo rusko obrazovanje i prevazišao naučni
jaz koji je postojao između Rusije i Zapadne Evrope. Zbog toga je ona
bila posebno privlačna za učene strance poput Ojlera. Akademija je raspolagala
ogromnim finansijskim izvorima i bogatom bibliotekom koja je stvorena
iz privatnih bibiloteka samog Petra Velikog i ruskog plemstva. Vrlo malo
studenata je imalo čast da pohađa Akademiju, da bi se univerzitetskim
profesorima olakšao teret predavanja, a posebno se insistiralo na istraživačkom
radu zahvaljujući vremenu i slobodi koje su zaposleni imali na raspolaganju
da bi mogli da se posvete rešavanju naučnih pitanja.
Ojler je doputovao u rusku prestonicu 17. maja 1727. godine, istog dana
kada je umrla Katarina I, koja je vodila računa o Akademiji nastavljajući
zamisao svog pokojnog supruga, Petra Velikog. Rusko plemstvo, koje je
ojačalo stupanjem na vlast dvanaestogodišnjeg Petra II, bilo je sumnjičavo
po pitanju stranaca koji su bili zaposleni na Akademiji, a na nju su gledali
kao na nepotreban luksuz, pa su u nekoliko narednih meseci počeli da uskraćuju
finansijska sredstva i da indirektno utiču na naučnike sa strane da napuštaju
Rusiju. U takvom trenutku, zbog zabune u vezi pozicije na koju je primljen,
Ojler je dobio posao u matematičkom odseku, nakon što je zamalo, u očaju
zbog razvoja situacije, postao poručnik u ratnoj mornarici. Ojler je u
Petrogradu stanovao sa Danijelom Bernulijem, sa kojim je često blisko
sarađivao. Temeljno je savladao ruski i rešio da se skrasi u Petrogradu.
Našao je sebi dodatni posao, zaposlivši se kao lekar u ruskoj mornarici.
Uslovi su se neznatno poboljšali nakon smrti Petra II, pa je Ojler brzo
napredovao, te bio postavljen za profesora fizike 1731. godine. Dve godine
kasnije, Danijel Bernuli, kome je bilo dosta cenzure i neprijateljstava
sa kojima se susretao u Petrogradu, otputovao je za Bazel, a Ojler ga
je nasledio kao rukovodilac odseka za matematiku.
U to vreme težište Ojlerove delatnosti postaje rad na geografskim kartama,
kao posledica prihvatanja zadatka da se na osnovu postojećih karata ruskih
gubernija sastavi mapa cele Rusije. Zbog velikih neslaganja sa jednim
od akademika koji je učestvovao u projektu, a vrlo verovatno i zbog svog
zdravlja, Ojler se 1740. godine povlači i prestaje da se bavi kartografijom.
Ojler se oženio Katarinom Gsel (Katharina Gsell), kćerkom slikara koga
je Petar Veliki doveo u svoju službu iz Holandije, 7. januara 1734. godine.
Mladi par je živeo u kući na obali reke Neve. Imali su trinaestoro dece,
od kojih je osmoro umrlo još u detinjstvu.
Zabrinut konstantnim nemirima u Rusiji, Ojler je prihvatio poziv Fridriha
Velikog da pređe na Berlinsku akademiju. Napustio je Petrograd 19. juna
1741. godine, i sledećih dvadeset pet godina živeo je u Berlinu. Kao šef
odseka za matematiku, Ojler se bavio rešavanjem najrazličitijih problema:
vodio je računa o opservatoriji i botaničkoj bašti, birao je osoblje,
bavio se raznim finansijskim pitanjima, i bio odgovoran za objavljivanje
kalendara i geografskih karata koje su bile solidan izvor priohoda za
Akademiju. Kao član upravnog odbora Akademije vodio je računa o biblioteci
i objavljivanju naučnih radova, a pored toga, bio je i državni savetnik
za igre na sreću, osiguranja i penzione fondove. Pored svega toga, u navedenom
periodu napisao je preko 380 matematičkih radova, a, između ostalog, objavio
je i dva svoja najpoznatija dela: Uvod u analizu beskonačnih veličina
(Introductio in analysin infinitorum, 1748) i Diferencijalni račun (Institutiones
calculi differentialis cum eius usu in analysi finitorum ac doctrina serierum,
1755).
Jedan od zadataka koje je Fridrih Veliki postavio Ojleru bio je da podučava
njegovu nećaku, princezu od Anhalt-Desaua (Anhalt-Dessau). Ojler je u
periodu 1760-1761 napisao preko 200 pisama koja su kasnije sakupljena
i objavljena u knjizi pod nazivom Pisma jednoj nemačkoj princezi, prevedenoj
na sedam jezika. U svojim pismima, Ojler se bavio različitim temama, najviše
iz oblasti fizike i matematike, ali je ovo zgodan materijal i za istraživanje
Ojlerove ličnosti i njegovih religioznih ubeđenja. Knjiga je postala popularnija
od bilo kog njegovog matematičkog dela, i objavljivana je širom Evrope
i u SAD, što je dokaz da je Ojler imao sposobnost uspešnog predstavljanja
naučnih tema širokoj publici, osobinu koja se retko sreće kod vrhunskih
naučnika posvećenih istraživačkom radu.
Uprkos svom neizmernom doprinosu ugledu Berlinske akademije, Ojler je
bio prinuđen da napusti pruski dvor, delimično zbog sukoba sa ličnošću
Fridriha Velikog, koji je smatrao matematičara nedovoljno mudrim u poređenju
sa krugom filozofa koji su bili dovedeni na Akademiju. Jedan od tih filozofa
je bio Volter, koji je imao itaknutu poziciju u kraljevom društvu. Na
drugoj strani, kao njegova direktna suprotnost se nalazio Ojler, jednostavan,
vredan i religiozan čovek, sa vrlo konvencionalnim uverenjima i ukusom.
Sa svojim prilično slabim poznavanjem retorike, i tendencijom da diskutuje
o stvarima o kojima nije mnogo znao, često je bio meta Volterovih dosetki.
Fridrih je, takođe, bio razočaran Ojlerovim praktičnim inženjerskim sposobnostima:
“ Želeo sam vodene prskalice u svojoj bašti: Ojler je izračunao snagu
potrebnu točkovima da podignu vodu u rezervoar, odakle je, pomoću kanala,
trebalo da u mlazevima poliva Sansusi. Naprava je bila konstruisana geometrijski
i nije mogla da podigne gutljaj vode na bliže od pedeset koraka do rezervoara.
Taština nad taštinama! Taština geometrije! “
Gubitak vida
Ojlerov vid se pogoršavao sa godinama. Tri godine nakon što je bolovao
od prehlade sa skoro smrtnim ishodom, 1735. godine skoro potpuno je oslepeo
na desno oko, ali je voleo da smatra da je to bila posledica napornog
rada na pravljenju mapa za petrogradsku Akademiju. Ojlerov vid na tom
oku se toliko pogoršao tokom njegovog boravka u Berlinu, da mu se Fridrih
obraćao sa Kiklope. Tri decenije kasnije, 1766. godine, levo oko mu je
obolelo od katarakte, što ga je dovelo do potpunog slepila u roku od nekoliko
nedelja po postavljanju dijagnoze. Čak ni to nije umanjilo njegovu produktivnost,
pošto je svoje slepilo prevazišao fotografskim pamćenjem i izvanrednom
sposobnošću mentalnog računanja. Smatra se da je mogao da recituje ceo
tekst Vergilijeve Eneide, kao i da navede za svaku stranicu kojim stihom
počinje i završava. Prema De Kondorseu, jednom prilikom je rešio dilemu
svoja dva studenta koji su, sabirajući složeni konvergentan red za konkretnu
vrednost promenljive dobili razliku na parcijalnoj sumi sedamnaest prvih
članova koja se nalazila na petnaestoj decimali, tako što je u glavi izračunao
traženi zbir. Kasnije se ispostavilo da je bio u pravu. Slepi Ojler je
nastavio sa radom tako što je pisanje zamenio diktiranjem, a njegova produktivnost
se povećala - 1775. godine u proseku je svake sedmice završavao novo delo.
Povratak u Rusiju
Po dolasku na presto Katarine Velike situacija u Rusiji se znatno poboljšala,
i Ojler je 1766. godine prihvatio poziv da se vrati na petrogradsku Akademiju.
Njegov drugi boravak u Rusiji je bio obeležen sa nekoliko tragedija. U
požaru je 1771. godine izgorela Ojlerova kuća, a da nije bilo njegovog
vernog sluge, Švajcarca Petera Grima (po nekim izvorima Grimona) koji
je izneo svog gospodara iz vatrene stihije na leđima, taj incident bi
se završio fatalno po samog Ojlera. Pet godina kasnije, posle više od
četiri decenije braka, umrla je Ojlerova žena. Već sledeće godine ponovo
se oženio, ovoga puta sa Katarininom polusestrom Salome Abigajl Gsel (Salome
Abigail Gsell).
Ojler je umro 18. septembra 1783. godine u Petrogradu, nakon što je doživeo
moždani udar. Sahranjen je pored svoje prve žene na luteranskom groblju
koje se nalazilo na ostrvu Vasiljevski. Ovo groblje su uništili Sovjeti
nakon što su Ojlerove ostatke premestili u pravoslavni manastir Aleksandra
Nevskog.
Sećanje na Ojlera je za francusku Akademiju napisao francuski matematičar
i filozof Markiz de Kondorse, a biografiju i spisak njegovih dela, sastavio
je Nikolas fon Fus (Nikolaus von Fuss), Ojlerov zet i sekretar petrogradske
Carske akademije. Kondorse je primetio:
“ …il cessa de calculer et de vivre - … prestao je da računa i da
živi. “
Ojlerovi doprinosi matematici
Ojler se bavio skoro svim oblastima matematike: geometrijom, analizom,
trigonometrijom, algebrom, teorijom brojeva, kao i fizikom kontinuuma,
lunarnom teorijom i drugim oblastima fizike. Izdvaja se u istoriji matematike
kao vrlo originalna i značajna ličnost, a njegovo ime je povezano sa velikim
brojem matematičkih pojmova.
Matematička notacija
Ojlerova notacija je jako bliska savremenoj.
Odlomak iz Diferencijalnog računa,
objavljenog 1755. godine
Ojler je u matematičku notaciju uveo nekoliko konvencija koje je popularisao
kroz svoje brojne i široko rasprostranjene udžbenike. Uveo je pojam funkcije
i prvi je upotrebio oznaku f(x) za funkciju f primenjenu na argument x.
Pored toga, uveo je moderan zapis trigonometrijskih funkcija, slovo e
kao oznaku za osnovu prirodnog logaritma (danas poznatu i kao Ojlerov
broj), grčko slovo Σ za označavanje sumiranja i slovo i za označavanje
imaginarne jedinice. Takođe je koristio grčko slovo π da označi odnos
obima i poluprečnika kruga, iako to nije bila originalno njegova ideja.
Matematička analiza
U 18. veku matematička istraživanja su bila usredsređena na oblast analize,
a članovi porodice Bernuli, koji su bili bliski prijatelji porodice Ojler,
su bili zaslužni za veći deo ranih otkrića na ovom polju. Zahvaljujući
njihovom uticaju, Ojler se fokusirao na izučavanje matematičke analize.
Iako neki njegovi dokazi po savremenim standardima matematičke strogosti
nisu prihvatljivi, njegove ideje su utrle put mnogim značajnim dostignućima.
Ojler je poznat po velikom doprinosu razvoju stepenih redova, prikazivanju
funkcija u obliku zbira beskonačno mnogo sabiraka, kao što je i njihovoj
čestoj upotrebi.

Značajno Ojlerovo otkriće je razvoj broja e i inverzne tangensne funkcije
u stepeni red. Njegova slobodna upotreba (koja je po savremenim standardima
i tehnički nekorektna) stepenih redova omogućila mu je da reši čuveni
bazelski problem 1735. godine:


Geometrijska interpretacija Ojlerove formule
Ojler je uveo upotrebu eksponencijalne funkcije i logaritama u analitičke
dokaze. Otkrio je način da izrazi različite logaritamske funkcije pomoću
stepenih redova, i uspešno je definisao logaritme negativnih i kompleksnih
brojeva, čime je proširio domen matematičke primene logaritama. Takođe
je definisao eksponencijalnu funkciju za kompleksne brojeve i otkrio njenu
vezu sa trigonometrijskim funkcijama. Za proizvoljan realan broj φ, prema
Ojlerovoj formuli, važi jednakost:

Poseban slučaj te formule, koji se dobija za vrednost
poznat kao Ojlerov identitet,

se u knjizi Ričarda Fejnmana smatra za „najznačajniju matematičku formulu“,
zato što u jednom izrazu, uz korišćenje operacija sabiranja, množenja
i stepenovanja navodi pet važnih matematičkih konstanti 0, 1, e, i i π
. Čitaoci časopisa Matematikal intelidženser (Mathematical Intelligencer)
su 1988. godine ovaj identitet proglasili za najlepšu matematičku formulu
svih vremena. Interesanto je da su se među pet prvoplasiranih formula
na tom glasanju našle čak tri koje je otkrio Ojler.
Između ostalog, Ojler je razradio teoriju viših transcedentalnih funkcija
uvodeći gama-funkciju i novu metodu za rešavanje jednačina četvrtog stepena.
Otkrivši način da izračuna integral sa kompleksnim granicama nagovestio
je razvoj moderne kompleksne analize. Začeo je funkcionalnu analizu, i
dao čuvenu Ojler-Lagranžovu formulu.
Ojler je bio prvi matematičar koji je koristio analitičke metode za rešavanje
problema teorije brojeva. Na taj način je ujedinio dve različite matematičke
grane i uveo novu oblast istraživanja, analitičku teoriju brojeva. U procesu
zasnivanja novog polja, Ojler je stvorio teoriju hipergeometrijskih redova,
hiperboličnih trigonometrijskih funkcija i analitičku teoriju verižnih
razlomaka. Dokazao je da prostih brojeva ima beskonačno mnogo koristeći
divergentnost harmonijskog reda, i upotrebljavao je analitičke metode
da bi došao do određenih saznanja o načinu na koji su prosti brojevi raspoređeni
u skupu prirodnih brojeva. Ojlerovi doprinosi na ovom polju su omogućili
da se otkrije Teorema o prostim brojevima.
Teorija brojeva
Ojlerov interes za teoriju brojeva potakao
je Kristijan Goldbah, njegov prijatelj sa petrogradske Akademije. Dosta
njegovih ranih radova iz ove oblasti je bilo zasnovano na delima Pjera
Ferma - Ojler je razvio neke njegove ideje i opovrgao nekoliko hipoteza.
Ojler je povezao prirodu pojavljivanja prostih brojeva sa idejama matematičke
analize. Došao je do dokaza da suma recipročnih vrednosti prostih brojeva
divergira, pri čemu je otkrio vezu između Rimanove zeta-funkcije i prostih
brojeva, danas poznatu kao Ojlerova formula za Rimanovu zeta-funkciju.
Ojler je dokazao Njutnove identitete,
Malu Fermaovu teoremu, Fermaovu teoremu o zbiru dva kvadrata, i dao je
značajan doprinos Lagranžovoj teoremi o četiri kvadrata. Pored toga, uveo
je funkciju φ(n) koja daje broj svih pozitivnih celih brojeva manjih od
celog broja n koji su sa njim uzajamno prosti. Korišćenjem osobina ove
funkicije, uopštio je Malu Fermaovu teoremu, a taj rezultat je danas poznat
kao Ojlerova teorema. Značajno je doprineo razumevanju savršenih brojeva,
koji su fascinirali matematičare još od vremena Euklida, napravio je izvestan
progres ka formulisanju Teoreme o prostim brojevima, i postavio je hipotezu
koja je kasnije dokazana kao Zakon kvadratnih reciprociteta. Danas se
ti koncepti smatraju osnovnim teoremama teorije brojeva, a Ojler je svojim
idejama ukazao na put kojim je kasnije krenuo Karl Fridrih Gaus.
Do 1772. godine, Ojler je pokazao da je 231 − 1
= 2.147.483.647 Mersenov prost broj. To je bio najveći poznati prost broj
sve do 1867. godine.
Analitička geometrija
Ojlerov doprinos analitičkoj geometriji se sastoji u formulaciji jednačina
koje opisuju kupu, valjak, i različite rotacione površi. Pored toga, pokazao
je da se najkraće rastojanje između dve tačke na zakrivljenoj površi pretvara
u duž ukoliko se ta površ projektuje na ravan. Prvi je proučavao sve krive
zajedno, bez posebne naklonosti prema konikama i temeljno se bavio krivama
koje generišu transcedentalne funkcije (npr. sinusoida).
Napisao je i značajan rad o klasifikaciji krivih i površi. U Uvodu u analizu
beskonačnih veličina se nalazi kompletna i iscrpna diskusija o polarnim
koordinatama koje su date u savremenom obliku. Zbog toga se greškom, čak
i danas, često navodi da je Ojler uveo u upotrebu tu notaciju.
Dokazao je i nekoliko teorema opšte geometrije, između ostalih i tvrđenje
da težište, ortocentar i centar opisanog kruga trougla uvek pripadaju
jednoj pravoj. Njemu u čast, ta prava je nazvana Ojlerovom.
Primenjena matematika
Neka od Ojlerovih značajnih dostignuća uključuju rešavanje realnih problema
analitičkim metodama, i opisivanje mnogobrojnih primena Bernulijevih brojeva,
Furijeovih redova, Venovih dijagrama, Ojlerovih brojeva, konstanti e i
π, verižnih razlomaka i integrala. Načinio je celinu od Lajbnicovog diferencijalnog
računa i Njutnove metode fluksija,
i razvio je aparat koji je olakšao primenu matematičke analize na fizičke
probleme. Napravio je velike korake u poboljšanju numeričke aproksimacije
integrala, tako što je u upotrebu uveo takozvane Ojlerove aproksimacije,
među kojima su najznačajnije Ojlerova metoda i Ojler-Maklorenova formula.
Olakšao je upotrebu diferencijalnih jednačina uvodeći takozvanu Ojler-Maskeronijevu
konstantu:

Teorija muzike
Među manje poznatim Ojlerovim doprinosima nalazi se pokušaj formulisanja
teorije muzike u potpunosti zasnovan na matematičkim idejama, koji je
napravio napisavši 1739. godine Tentamen novae theoriae musicae, a zatim
i brojna druga dela sa nadom da može da priključi teoriju muzike matematici.
Ojler se tim svojim nastojanjima priključio trendu koji su pokrenuli Marin
Mersen i Rene Dekart, a koji će nastaviti Žan Dalamber, Herman fon Helmholc
i drugi.
U svom Sećanju na Leonarda Ojlera, njegov pomoćnik, Nikolas Fus okarakterisao
je navedeni traktat kao:
“ Ozbiljno delo, prepuno novih ideja koje su predstavljene sa originalne
tačke gledišta, ali delo koje nije doživelo značajnu popularnost zato
što sadrži previše geometrije za muzičare, i previše muzike za matematičare.
“
Fizika i astronomija
I na polju fizike Ojler je ostavio trag, kroz otkriće Ojler-Bernulijeve
jednačine. Pored toga što je uspešno primenjivao svoje analitičke metode
na probleme klasične mehanike, istim tehnikama se služio i pri rešavanju
astronomskih problema. Za svoja dostignuća na tom polju dobio je nekoliko
nagrada pariske Akademije nauka. Između ostalog, sa velikom tačnošću je
određivao orbite kometa i drugih nebeskih tela, razumevajući njihovu prirodu,
i računajući paralaksu sunca. Njegova izračunavanja su doprinela razvoju
tačnih tablica geografskih dužina.
Između ostalog, Ojler je dao značajan doprinos i na polju optike. Nije
se slagao sa Njutnovom teorijom
svetlosti izloženom u delu Optika (Opticks), koja je u to vreme bila
preovlađujuća. Svojim radom na tu temu iz 1740. godine pomogao je da Talasna
teorija svetlosti koju je predložio Kristijan Hajgens postane dominanatan
način razmišljanja, do razvoja Kvantne teorije svetlosti.
Lična filozofija i verska ubeđenja
Leonard Ojler i Danijel Bernuli su bili protivnici Lajbnicovog monizma
i filozofije Kristijana Volfa. Ojler je insistirao na činjenici da je
znanje, između ostalog, zasnovano na preciznim kvantitativnim zakonima,
što monizan i Volfova nauka nisu mogli da potvrde. Moguće je da su Ojlerove
religiozne sklonosti takođe imale oslonac u njegovom preziranju dogmi;
išao je tako daleko da je proglasio Volfove ideje „neverničkim i ateističkim“.
Do većeg dela onoga što nam je poznato u vezi sa Ojlerovim religioznim
ubeđenjima se može doći čitanjem njegovih Pisama jednoj nemačkoj princezi
i jednog ranijeg dela, Odbrana božanskog Otkrovenja od prigovora slobodnih
mislilaca (Rettung der Göttlichen Offenbahrung Gegen die Einwürfe der
Freygeister). Ova dela prikazuju Ojlera kao nepokolebljivog hrišćanina
i bogonadahnutu osobu.
U vreme svog boravka u Berlinu, Ojler je svake večeri okupljao porodicu
da bi zajedno pročitali jedno poglavlje iz Biblije i pomolili se, dok
je na drugoj strani, dane provodio na dvoru Fridriha Velikog na kome je,
prema Makoleju,
“glavna tema razgovora bila apsurdnost postojanja svih poznatih religija
“
Prema jednoj poznatoj priči, inspirisanoj Ojlerovim raspravama sa svetovnim
filozofima oko religioznih tema, u vreme njegovog drugog boravka u Petrogradu,
u poseti dvoru Katarine Velike se nalazio francuski filozof Deni Didro.
Kako su Didroovi argumenti u korist nepostojanja Boga počeli znatno da
utiču na Katarinine dvorane, carica je zamolila Ojlera da obuzda vetropirastog
gosta. Po dogovoru, Didrou je rečeno da Ojler poseduje algebarski dokaz
o postojanju Boga, i Francuz je pristao da ga pred celim dvorom sasluša.
Ojler je vrlo samouvereno istupio prema filozofu izgovorivši rečenicu:
“ Gospodine,
, znači da Bog postoji; odgovorite! “
Didro je zanemeo dok su ga, kao reakcija, zasipale salve smeha prisutnih
dvorana. Kako mu je matematika bila slaba strana, Ojlerova tvrdnja je
delovala istinito i nije mogao da je pobije. Ponižen, zatražio je od Katarine
dozvolu da se odmah vrati u Francusku, a ona mu je vrlo blagonaklono to
i dopustila. Međutim, koliko god ovo bio interesantan događaj, velika
je verovatnoća da nije istinit, s obzirom da je Didro bio sposoban matematičar,
koji je čak objavio nekoliko matematičkih rukopisa.
Izabrana dela
• Mehanika, ili nauka o kretanju izložena analitički (Mechanica,
sive motus scientia analytica exposita, 1736) — Ojler je u ovom udžbeniku
predstavio Njutnovu dinamiku materijalne tačke pomoću analitičkih metoda
izlaganja.
• Pokušaj zasnivanja nove teorije muzike (Tentamen
novae theoriae musicae, 1739)
• Disertacija o magnetu (Dissertatio de magnete,
1743)
• Metode za nalaženje krivih linija koje poseduju osobine maksimuma
ili minimuma (Methodus inveniendi lineas curvas maximi minimive
proprietate gaudentes, 1744) — prva knjiga u kojoj je objavljen varijacioni
račun. Tu se još mogu naći i dokazi da su katenoid i pravi helikoid minimalne
površi.
• Uvod u analizu beskonačnih veličina (Introductio
in analysin infinitorum, 1748) — u dva toma ove knjige Ojler se bavio
veoma različitim temama, između ostalog, teorijom beskonačnih redova,
zasnivanjem trigonometrijskih veličina kao količnika, analitičkom geometrijom
kroz razmatranje familija krivih i površi preko njihovih algebarskih jednačina,
algebarskom teorijom eliminacije, zeta-funkcijom i njenom vezom sa prostim
brojevima i razlaganjem brojeva na sabirke. Ovde se može naći Ojlerova
formula, i predstavljanje funkcija ex, sinx i cosx pomoću beskonačnih
redova.
• Diferencijalni račun (Institutiones calculi differentialis,
1755)
• Teorija kretanja čvrstih tela (Theoria motus corporum
solidorum seu rigidorum, 1765) — analitičko izlaganje mehanike čvrstih
tela. Između ostalog, ovde se nalaze i Ojlerove jednačine za tela koja
rotiraju oko tačke.
• Integralni račun (Institutiones calculi integralis,
1768 — 1774) — napisavši tri toma, u ovoj knjizi Ojler je izložio elementarni
diferencijalni i integralni račun, teoriju diferencijalnih jednačina koje
je klasifikovao u „linearne“, „egzaktne“ i „homogene“, Tejlorovu teoremu
i njene mnogobrojne primene i gama i beta-funkciju.
• Pisma jednoj nemačkoj princezi ( Lettres à une
Princesse d'Allemagne, 1768 — 1772) Prvi tom, Drugi tom, Treći tom
• Dioptrika (Dioptrica, 1769 — 1771) — izlaganje
teorije prelamanja zraka kroz sistem sočiva.
• Potpuni uvod u algebru (Vollständige Anleitung
zur Algebra, 1770) (francusko izdanje, engleski prevod iz 1822. godine)
— udžbenik algebre koji se završava sa jednačinama trećeg i četvrtog stepena.
• Teorija kretanja meseca (Theoria motuum lunae,
1772)
• Teorija kretanja planeta i kometa (Theoria motus
planetarum et cometarum, 1774) — delo koje se bavi nebeskom mehanikom.
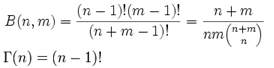
Ojlerov integral
U matematici, postoje dva tipa Ojlerovog integrala:
1. Ojlerov integral prve vrste: Beta-funkcija

2. Ojlerov integral druge vrste: Gama-funkcija

Za pozitivne cijele brojeve m i n
Ojlerova kružnica

Ojlerova kružnica ili kružnica sa 9 tačaka je kružnica koja se može konstruisati
za svaki trougao a ime je dobila po sledećim tačkama koje sadrži:
• Podnožja visina trougla, iliti tri tačke u kojima se normale iz temena
trougla seku sa stranicama na koje su normalne
• Podnožja težišnih duži trougla. Težišna duž je duž koja spaja teme trougla
i središte nasprame strane. Ovih tačaka ima takođe tri.
• sredine rastojanja ortocentra trougla od svakog temena.
Ovu kružnicu je prvi konstruisao švajcarski matematičar Leonard Ojler.
Značajne tačke

Gornja slika pokazuje devet značajnih tačaka na kružnici od devet tačaka.
Tačke D, E i F su sredine stranica trougla. Tačke G, H i I su podnožja
visina. Tačke J, K i L su sredine duži koje spajaju ortocentar S (presek
visina) sa svakim temenom.
Broj e
Broj e, poznat kao Ojlerov broj ili Neperova konstanta, je osnova prirodnog
logaritma i jedan od najznačajnijih brojeva u savremenoj matematici, pored
neutrala sabiranja i množenja 0 i 1, imaginarne jedinice broj i i broja
pi. Osim što je iracionalan i realan, ovaj broj je još i transcendentan.
Do tridesetog decimalnog mesta, ovaj broj iznosi:
e ≈ 2.71828 18284 59045 23536 02874 71352 ...
Definicije
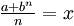
Broj e se može predstaviti kao:
1. Granična vrednost beskonačnog niza

2. Suma beskonačnog niza:

Gde je n! faktorijel n.
3. Pozitivna vrednost koja zadovoljava sledeću jednačinu:

Može se dokazati da su navedena tri iskaza ekvivalentna.
4. Ovaj broj se sreće i kao deo Ojlerovog identiteta:

L I T E R A T U R A
1. http://sr.wikipedia.org/sr
2.E.T.Bell, Veliki matematičari, Znanje-Zagreb, 1972
3. http://www.ljiljanapetkovic.com/books.html
4.Borisav Simić, I TO JE MATEMATIKA,
Zavod za udžbenike i nastavna sredstva, Beograd, 1992
PROČITAJ
/ PREUZMI I DRUGE SEMINARSKE RADOVE IZ OBLASTI:
|
|
preuzmi
seminarski rad u wordu » » »
Besplatni
Seminarski Radovi
|
|