SEMINARSKI RAD IZ MATEMATIKE
|
|||||||||||||||||||||||||||||||||||||||||||||||||||||||||||||||||||||||||||||||||||||||||
|
Leonhard Euler"Ojler je računao bez vidljivog napora, slično kao što čovek diše, ili kako se orao održava na vetru."
1 Život u osamnaestom vekuOjlerova matemati cka karijera po cela je u godini Njutnove smrti.
Nije se mogla pronaći povoljnija epoha za genija kao sto je bio Ojler.
Analitička geometrija (objavljena 1637. god.) već se upotrebljavala
20 godina, diferencijalni i integralni ra cun oko 50, a Njutnov zakon
o svemirskoj gravitaciji, ključ za fizikalnu astronomiju, matematičarima
je bio poznat 40 godina. U svakom od ovih podrucja bio je resen veliki
broj izolovanih problema, sa nastojanjima za ujedinjenje; ali sistematski
napad jos nije organizovan protiv čele matematike, čiste i primenjene,
koja je tada postojala. Posebno snazna analitička metoda Dekarta,
Njutna i Lajbnica
jos nije bila iskorisčena do mogučih graniča, naročito u mehaniči i
geometriji. 2 Životni put Leonarda Ojlera2.1 Prvi koraci i usmerenje
Leonard je mogao uzivati sve dok nije dobio diplomu zrelosti 1724.
godine, u sedamnaestoj godini, kada je njegov otac insistirao da napusti
matematiku i potpuno se posveti teologiji. Ali je otac popustio kada
su mu Bernulijevi rekli da je njegov sin predodredjen da bude veliki
matematicar. I premda se proročanstvo potpuno ispunilo, takvo vaspitanje
je na Ojlera imalo utičaja do kraja zivota. Sto je bio stariji, sve
se vi se secao poziva svog oca. 2.2 Zivot u RusijiOjler je dobio sluzbeni poziv u Petrograd 1727. godine da bude saradnik
i medicinskoj sekciji Akademije. Ojlerovo veselje je ubrzo prestalo.
Onoga dana kada je stupio na tlo Rusije, umrla je liberalna Katarina
I. Godine 1733. Danijel Bernulije se vratio u Svajcarsku i Ojler je u
dvadeset i sestoj godini zauzeo vodeči polozaj matematičara na Akademiji.
Osecajuci da ce ostati u Petrogradu ceo svoj zivot, Ojler je odlučio
da se ozeni. Odabranica je bila Katarina, kcerka slikara Gsella, kojeg
je Petar Veliki poveo sa sobom u Rusiju. Političke prilike postale su
jos gore i Ojler je očajno, vise nego ikada, zeleo da pobegne. Ali brzim
dolaskom dece jednog za drugim eu-ler je bio sve vi se vezan i izlaz
je na sao u neprekidnom radu. Stalna opeznost silila ga je na neprekidni
rad. 3 Ojlerov doprinos u matematiciOjler je do sao do zapazenih rezultata u svim oblastima matematike koje su u to vreme postojale. Svoja otkrica objavljivao je ne samo u člancima razli čitog obima več i u mnogim obimnim priručnicima, gde je sreden i kodifikovan materijal do kojeg su dosle ranije generačije. U nekim oblastima Ojlerovo izlaganje moze se smatrati skoro potpuno zavrsenim. Primer je na sa sadasnja trigonometrija sa svojom koncepčijom trigonometrijskih veli čina kao koli čničima i sa svojom simbolikom, koja potiče iz Eulerovog dela Uvod u analizu beskonacnih velicina, 1748.god. Ogromni autoritet njegovih priručnika u činio je da se u algebri i analizi učvrste njegove oznake.
|
![]() |
U dva toma Uvoda obuhvaceno je veoma mnogo različitih pitanja. Tu se nalazi Ojlerovo izlaganje beskonačnih redova, medu kojima redovi za ex, sinx i cosx i relačija etx = cosx + isinx poznata kao Ojlerova formula.
Ako se x zameni sa n dobija se Ojlerov identitet el7T + 1 = 0 koji
je zna čajan po tome sto daje vezu izmedu 5 izuzetno vaznih matemati
č kih konstanti e, i, n, 1
i 0.
Ispitivanje krivih i povrsi pomoču njihovih jednačina izvodi se tako
slobodno da mo zemo Uvod smatrati prvim ud zbenikom analiti čke geometrije.
Ovde nalazimo i algebarsku teoriju eliminačije. Razlaganje bro jeva
na sabirke je deo Uvoda koji posebno zadivljuje.
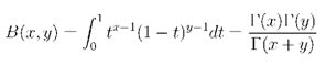
Drugi veliki i sadrzajno bogat Ojlerov priručnik je Diferencijalni račun, 1755. Posle ovog priru čnika pojavila su se tri toma Integralnog računa, 17681744. Tu nalazimo ne samo na s elementarni diferencijalni i integralni račun vec i teoriju diferenčijalnih jednačina, Tejlorovu teoremu sa mnogim primenama, Ojlerovu teoremu za sumiranje i Ojlerove integrale r i B :

r(z)
= tz-1e-tdt Jo
Potpuni uvod u algebru (1770. god.) napisan je na nemačkom jeziku i
Ojler ga je diktirao slugi jer je tada bio slep. Izlaganje je u toj
knjizi dovedeno do teorije jednač ina trečeg i četvrtog stepena.
Ojlerovo delo Metode za nalaženje krivih linija koje poseduju osobine minimuma ili maksimuma pojavilo se 1774. godine.

Medu poznatijim radovima je i teorema koju je on otkrio, a u kojoj je uspostavljena relačija izmedju broja temena V, strana F i iviča E zatvorenog poliedra :
V+F-E=2
|
tetraedar |
oktaedar |
heksaedar |
ikosaedar |
dodekaedar |
V |
4 |
6 |
8 |
12 |
20 |
F |
6 |
12 |
12 |
30 |
30 |
I |
4 |
8 |
6 |
20 |
12 |
U bilo kom trouglu vazi da su ortocentar H, srediste opisanog kruga
M i teziste Z koninearne tacke i vazi HZ = 2ZM.

Sredista stranica, podnožja visina i sredista duzi odredenih temenima i ortocenrom bilo kog trougla pripadaju jednom krugu.
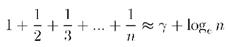
Ojlerova konstanta
U njegovom radu sa beskonačnim redovima proučavao je konstantu
![]()
koja nosi njegovo ime i pokazao kako se koristi za procenu sume beskonačnog
reda

buduči da je
![]()
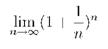
1736. godine Ojler je uveo simbol e za transcendentni broj koji se
definise kao granična vrednost
![]()
1748. godine uveo je oznaku
i = v—1
Nekoliko Ojlerovih članaka posvećeno je zanimljivoj matematici. Jedan
od njih je Problem Keningsberskih mostova.
Kroz centar nekadasnjeg pruskog grada Keningsberga, danas Kalinjingrada,
protiče reka Pregel.

Na reči su dva ostrva povezana medjusobno i sa obalama reke sa sedam
mostova. Priča se da su stanovnici Keningsberga zabavljali pokusavajuci
da obidju svih sedam mostova, a da pri tome preko svakog predu tačno
jedanput. Medutim uprkos svim nastojanjima nikome to nije poslo za rukom.Isto
tako niko nije bio u stanju ni da dokaze da je tako ne sto neizvodljivo.
Prvi koji je u tome uspeo bio je Ojler. Ojlerov dokaz ne postojanja
odgovarajuce setnje Keningber skim mostovima smatra se prvim rezultatom,
a samim tim i početkom teorije grafova. U Eulerovu čast čitava jedna
klasa grafova dobila je ime Ojlerovi grafovi.
Naro čitu paznju Ojler je poklanjao astronomiji, ta čnije teoriji kretanja Meseca. Napisao je Teoriju kretanja planeta i kometa, 1774. god. koja se svrstava u oblast nebeske mehanike. S tim njegovim radom su u vezi njegova ispitivanja o privla čenju elipsoida (1738. god.).

Ojlerovo delo Metode za nalaženje krivih linija koje poseduju osobine
maksimuma ili minimuma pojavilo se 1774. godine.
Ako njegovi napori da dokaze postojanje korena algebarske jednačine
nisu doveli do neoborivog dokaza, oni otvaraju put njegovim nastavlja
čima, posebno Lagranžu, inače njegovom učeniku po mnogim pitanjima.
Iako su razmenili bogatu prepisku, Ojler i Lagranz se, međutim, nikad
nisu sreli. Radovi iz vise aritmetike Lagranza i Ojlera usko su povezani,
i uopste, Ojler je otvarao put a Lagranz je pojednostavljivao ili uopstavao.
Godine 1909. Svajcarsko drustvo za prirodne nauke počelo je sa sakupljanjem
i objavljivanjem Ojlerovih razbacanih memoara uz finansijsku pomoc mnogih
ličnosti i matematičkih drustava sirom sveta s pravom tvrdeći da Ojler
pripada čitavom civilizovanom svetu, a ne samo Švajcarskoj.
Literatura
[1] E.T.Bell, Veliki matematičari, Znanje-Zagreb, 1972.
[2] DIRK J. STROJK, Kratak pregled istorije matematike, Zavod za izdavanje udžbenika Socijalističke Republike Srbije, 1966.
[3] Vojislav Petrovič, Teorija grafova, Univerzitet u Novom Sadu, Prirodno-matematički fakultet, 1998.
[4] Liesbeth De Cočk, Ilse de Saegher, Nele Roelens, Na-talie Van Eynde, Liesbeth Van Raemdnočk, Leonhard Euler, http://www.mathsforeurope.digibel.be/Euler.html
[5] dr Ljiljana Petkovič, Matematički simboli i termini, http://www.ljiljanapetkovič.čom
[6] Dipl.Math. Stefan Kramer, Euler's Constant gamma, http://www.math.uni-goettingen.de/skraemer/gamma.html
[7] Peter Taylor, Australian Mathematics Trust, Leonhard Euler, http://amt.čanberra.edu.au/euler.html
preuzmi
seminarski rad u wordu » » »
