|
TALES - Θαλής
Tales
je rođen oko 624. godine p.n.e. u Miletu, Mala Azija. Bio je
sin Ekzamisa i Kleobuline. Postoje podeljena mišljenja
o njegovom poreklu. Dok jedni smatraju da potiče iz plemićke porodice
iz Mileta, drugi tvrde da je poreklom Feničanin.
Tales je prvi čovek koji je istraživao osnovne principe, pitanje materije
od koje je svet sačinjen, i samim tim osnivač škole prirodne filozofije.
Bio je zainteresovan za sve oblasti života, bavio se filozofijom, istorijom,
matematikom, geografijom, politikom iako je po vokaciji bio inženjer.
Objasnio je mnoge prirodne pojave, imao svoje mišljenje o obliku Zemlje
i dao odgovore na određene kosmičke fenomene za koje se do tada smatralo
da se događaju pod uticajem natprirodnih sila, što je označilo početak
grčke astronomije.
Talesove pretpostavke su bile nove i smele i nisu uključivale božanski
uticaj u objašnjenja prirodnih i kosmičkih fenomena, čime je utabana staza
za nastanak naučnog metoda. Želeo je da nauku odvoji od praktičnog, tj.
da se znanjem bavi radi samog znanja, a ne iz lične koristi. Bio je osnivač
Miletske škole prirodne filozofije iz koje su potekli Anaksimandar i Anaksimen.
Uvek su postojale sumnje oko toga da li je Tales nešto napisao, ali mnogi
antički spisi govore u prilog činjenici da je iza sebe ostavio pisani
trag. Diogen iz Laerte govori da je Tales napisao dva traktata: “O
dugodnevnici” i “O ravnodnevnici”. On takođe tvrdi da Tales
nije imao učitelja, sem što je putovao u Egipat i družio se sa tamošnjim
sveštenicima.
Talesovo ime je značajno i u matematici, zbog otkrića i dokazivanja pet
značajnih teorema, kao i zbog uticaja na čitava plejadu vrsnih matematičara
kao što su: Hipija, Pitagora, Anaksagora, Eudoks,
Euklid itd.
Tales je umro 547. godine p.n.e u Miletu, ostavljajući
iza sebe sliku svestranog čoveka, utemeljivača naučne misli i čoveka koji
je bio inspiracija za sve oko sebe.
MILETSKA ŠKOLA
Tales je bio osnivač nove škole filozofije. Dvojica njegovih kolega,
takođe poreklom iz Mileta, koji su se takođe bavili proučavanjem svega
postojećeg, bili su: Anaksimandar, njegov učenik, i Anaksimen koji je
bio Anaksimandarov učenik. Anaksimandar je bio oko deset godina mlađi
od Talesa, ali ga je nadživeo samo godinu dana. Anaksimen je rođen 585.
godine a umro oko 528. godine p.n.e., tako da su se životi svih trojice
filozofa poklapali. Svi su se bavili sličnim problemima: prirodom materije
i prirodom promena, ali su svi predlagali različitu supstancu kao osnovnu
materiju, što govori da nije bilo potrebe da prate Talesovo učenje, niti
da svoja otkrića pripisuju njemu. Svi su uzimali različitu materiju kao
oslonac Zemlje. Tales je bio vrlo cenjen zbog svoje mudrosti, proglašavan
najvećim od mudraca Stare Grčke, ali nije smatran bogom, kao što je to
bio slučaj sa Pitagorom. Anaksimandar i Anaksimen
su mogli da slede svoje ideje i da ih pismeno izražavaju. Ovo sigurno
govori da su se često upuštali u kritičke diskusije svojih teorija. Kritičke
diskusije su više od prihvatanja ili negodovanja određenih teorija. To
je usvajanje, ili u ovom slučaju, razvoj, novog stila diskusije. To je
procedura koja ohrabruje pitanja, debate, objašnjenja i kritike. Postojala
je posebna veza između ova tri filozofa i vrlo je verovatno da se kritički
metod razvio u Miletskoj školi, pod
vođstvom Talesa.
TALESOVO SHVATANJE PRIRODE
Voda je osnovni princip
Aristotel je
definisao mudrost kao znanje određenih principa i razloga pojava. Svoje
traganje za mudrošću filozofa koji su mu prethodili počinje sa Talesom
koga je u “Metafizici” opisao kao osnivača prirodne filozofije. Zabeležio
je: “Tales kaže da je voda”, misleći pri tome na izvor postojanja,
glavni element prirode. Za Talesa, priroda je bila samo jedna supstanca,
voda. Aristotel je Talesova mišljenja zabeležio u obliku u kojem ih je
Tales izložio u 6 veku p.n.e., dok je razloge kojima se Tales služio da
opravda svoja uverenja, prezentovao sa dozom sumnje.
Problem prirode stvari, i njene transformacije u mnoštvo iz kojeg je svemir
sačinjen, bio je predmet učenja prirodnih filozofa, počev od Talesa. Ključno
za njegovo učenje bilo je da uspe da objasni kako sve stvari potiču od
vode, i kako se vraćaju u svoju originalnu materiju. Talesove pretpostavke
da voda ima mogućnost menjanja stvari, bile su osnova za objašnjenje bioloških,
meteoroloških i geoloških problema. Uočio je da voda ulazi u sastav svih
živih bića, da i sama toplota dolazi od vode i zbog toga ju je postavio
za osnovni princip postojanja.
Ljudi su se bavili prostom preradom metala i pre nego što je Tales izneo
svoje hipoteze, tako da je znao da metali na velikoj toploti prelaze u
tečno stanje. Voda jasno predstavlja promene, i to mnogo uočljivije od
ostalih tzv. elemenata, a i može se videti u tri svoja oblika: tečnost,
para i led. Nije poznato kako je Tales objasnio svoju tezu o vodi kao
pramateriji, ali Aristotel je verovao da su razlozi koje je predočio u
“Metafizici” bili glavni činioci Talesovog ubeđenja.
Tales nije dao nikavu ulogu bogovima sa Olimpa, čime je raskrstio sa dotadašnjom
tradicijom. Bio je cenjen u svom vremenu, zbog originalnog uma i neoslanjanja
na mitologiju pri objašnjenju prirodnih pojava. Nije pripisao uređenje
kosmosa bogovima. Iako je Aristotel uočio sličnost Talesove teorije sa
antičkom legendom, ipak je bio mišljenja da to učenje nije zavisilo od
mita, već je izlazilo iz okvira konvencionalnih shvatanja. Aristotel je
imao samo reči hvale za Talesovo naučno objašnjenje problema.
Sve stvari su pune bogova
Pitanje da li je Tales uključio bogove u svoje misli je od fundamentalnog
značaja za njegov rad. Aristotel je zabeležio “Tales je iz toga što
je video, zaključio da je duša uzrok pokreta jer pošto magnet ima dušu,
čini da se gvožđe pokreće. Duša okupira ceo svemir, odakle dolazi Talesovo
mišljenje da je sve puno bogova”. Izvor za Aristotelov spis je verovatno
bio Platon, mada on sam ne pominje
Talesa u svojim delima. Platon je
promenio misao o duši u teoriju “Sve je puno bogova”, i to je bio
uzrok takvog Aristotelovog pisanja, ali ideja o bogovima je u suprotnosti
sa Talesovim materijalizmom. Kada Tales definiše realnost govori o njoj
kao nečem bliskom, a ne božanskom. Sila koja pokreće svet nije u natprirodnom,
već u nečemu što je čoveku na dohvat ruke. Nikada se nije pozivao na stvari
koje nisu potekle iz prirode, jer je verovao da je prepoznao silu koja je
u osnovi svih prirodnih događaja.
NOVE IDEJE O ZEMLJI
Zemlja plovi na vodi
Aristotel je
napisao: “Mišljenje da Zemlja leži na vodi je najstarije objašnjenje
koje dolazi do nas, i pripisuje se Talesu iz Mileta. On je potkrepio svoju
teoriju upotrebivši analogiju sa stvarima koje plutaju na vodi, a ne u
vazduhu, kao što je drvo i slične supstance”. Aristotel je posumnjao
u Talesovu teoriju jer nije bila u skladu sa prirodnim očekivanjima.
Možda je Tales došao do svog zaključka smatrajući da Zemlja poseduje specifičnu
osobinu, sličnu drvetu, da pluta. U miletskoj luci, Tales je imao neograničene
mogućnosti da posmatra pristajanje i odlazak brodova sa svojim tovarima
težim od vode, i prepoznao vezu sa plovećim deblima. Čini se da su njegove
hipoteze bile podržane temeljnim analiziranjem.
Tales je smatrao da kao modifikacija vode, zemlja mora biti lakša supstanca,
a plutajuća ostrva postoje. Posećujući obližnja ostrva dolazio je u dodir
sa lako uočljivim primerima za modele svoje teorije, i sa punim pravom
mogao da tvrdi da su njegove misli ispravne. Nigde ne pominje bogove kao
što je Okean, već samo vodu i zemlju, što je još jedna činjenica koja
govori o smelosti Talesovih ideja.
Talesova “sferna Zemlja”
U antička vremena postojala su mnoga mišljenja o Zemljinom obliku; ravna,
tanka, kružna, ali Aristotel
prenosi Talesovo mišljenje o sfernom obliku planete.
Postoji nekoliko dobrih razloga za takav pogled na Zemljin oblik.
Prvo, činjenica da tokom pomračenja Sunca senka prouzrokovana
Zemljinim položajem između Sunca i Meseca je uvek konveksna; zato Zemlja
mora biti sfernog oblika. Da je ona ravan disk, senka tokom pomračenja
bi bila elipsa.
Drugo, Tales poznat kao posmatrač neba, mogao je da uoči određene
zvezde na posebnim lokacijama, a nisu bile vidljive kad bi išao prema
severu ili jugu. Ovaj fenomen je opisao kao posledicu sferne Zemlje.
Treće, iz običnog posmatranja Zemlje stiče se utisak da je zaobljena,
liči kao da je pokrivena kupolom, i sastaje se sa njom na horizontu. Gledajući
tokom godišnjih doba, čini se kao da kupola rotira, i mnoga nebeska tela
menjaju svoj položaj u izvesnom stepenu, ali se svake godine vraćaju u
sličan položaj. Kroz svoj rad kao astronom, Tales se sigurno upoznao sa
noćnim nebom i kretanjem nebeskih tela. Određujući veličinu Sunca na zalasku
i izlasku, verovatno je shvatio da mnoge prirodne pojave dobijaju jasan
smisao posmatrajući Zemlju kao sferu.
Posmatrajući brod sa obale može se videti kako nestaje sa horizonta,
pri čemu prvo sa vidika nestaje pramac, zatim krma i jedra. Kada bi neko
drugi posmatrao sa više tačke, video bi brod duže pre no što nestane iz
pogleda, što je još efektnije objašnjenje Zemljinog loptastog oblika.
Iako potekli iz iste Miletske filozofske škole, Anaksimander i Anaksimen
nisu sledili Talesa u ovoj teoriji, već su zastupali sopstvena mišljenja.
Anaksimen je tvrdio da je Zemlja ravna ploča.
Teorija o zemljotresima
Talesov stav o uzroku zemljotresa je u skladu sa njegovim mišljenjem
da Zemlja pluta na vodi. U nekom prilikama Zemlja podrhtava zbog promena
u okeanima. Mada je teorija pogrešna, Talesova hipoteza je smislena jer
ne uključuje skrivene sile. Ona je napredak u odnosu na tradicionalno
mišljenja da je uzročnik zemljotresa ljuti bog Posejdon.
TALES U ASTRONOMIJI
Pomračenje Sunca
Talesu se pripisuje da je predvideo pomračenje Sunca koje se desilo 585.
godine p.n.e. Najraniji pisani podatak o pomračenju Sunca daje Herodot:
“Jednom prilikom Medejci i Liđani su imali neočekivanu bitku u mraku,
događaj koji se desio nakon pet godina ratovanja ratovanja bez pobednika.
Dve armije su se već sukobile i bitka je bila u toku, kada se dan iznenada
pretvorio u noć. Ovu promenu iz svetla u mrak je predskazao Tales
iz Mileta, koji je rekao da će se ta promena desiti baš te godine”.
Najbitnije stavke su: Tales je predvideo pomračenje Sunca, i ono se desilo
u okviru perioda koji je on rekao da će se dogoditi. Kako je Tales to
uradio, nije poznato. Postoji snažno mišljenje da je Tales uspeo da predvidi
ovo koristeći znanje o Sarusovom ciklusu, kao i određene teorije o Ekseligmovom
ciklusu. Nije poznato kako je Tales uspeo da predvidi pomračenje Sunca,
ako i jeste, ali to nije mogao uraditi koristiti Sarusov i Ekseligmov
ciklus.
Moderna astronomija potvrđuje da se to pomračenje dogodilo, i to totalno.
Prema Herodotovom pisanju, senka pomračenja je morala preći preko bojnog
polja. Pomračenje sunca je smatrano natprirodnim i znakom buduće nesreće
koju “režira” neka viša sila. U antičkim vremenima, ovaj fenomen je izazivao
čuđenje, strepnju i strah. Vojnici su shvatili ovo pomračenje kao opomenu
i negodovanje zbog njihovog ratovanja. Prekinuli su borbu i sklopljen
je mir između dva kralja.
Široko je prihvaćena teorija da je Tales prikupljao informacije iz Blisko
– Istočnih izvora i time imao pristup podacima koji datiraju od vremena
Nabonasara (oko 747 p.n.e.). Neki sugerišu da je Tales predvideo pomračenje
sunca 585. p.n.e. pomoću znanja o Sarusovom ciklusu, ciklusu od 223 lunarnih
meseci nakon kojih se pomračenja i Sunca i Meseca ponavljaju uz male razlike,
ili pomoću znanja o Ekseligmovom ciklusu koji tačno tri puta duži od Sarusovog.
Tales nije mogao predvideti pomračenje Sunca na osnovu ovih podataka,
zato što se pomračenja Sunca i Meseca ne ponavljaju uz male razlike.
Sledeća važna činjenica treba da bude zabeležena. Neki teoretičari i filozofi
veruju da je Tales možda prisustvovao pomračenju Sunca 18. maja 603. godine
p.n.e. ili da je čuo za njega. Slažu se da je predvideo pomračenje 28.
maja 585.godine p.n.e. i da se služio Sarusovim ciklusom i činjenica da
je razmak između dva pomračenja bio 18 godina, 10 dana i 7,7 sati ide
u prilog toj tvrdnji. Dve činjenica pobijaju ovu teoriju. Prvo, pomračenje
18. maja 603. p.n.e. se nije moglo videti iz Egipta, niti u vavilonskim
observatorijama. Pomračenje je prešlo Persijski zaliv, predaleko za posmatranje.
Drugo, čak i da je pomračenje bilo vidljivo za Blisko – Istočne astronome,
nije bilo moguće formirati šablon od samo jednog događaja, niti čak od
dva. To je moguće učiniti tek nakon tri događaja, koji su razdvojeni jednakim
vremenskim intervalima, ali pomračenje koje se desilo 6. maja 621. p.n.e.,
nije bilo vidljivo na Bliskom istoku. Samim time, astronomi tog regiona
nisu mogli formirati nikakav šablon za ovaj prirodni fenomen.
Potvrđeno je da je Tales znao da je Sunce pomračeno kada Mesec prođe ispred
njega. Dan pomračenja su neki nazivali “tridesetim” dok su ga drugi zvali
”novi Mesec”. Tales je rekao da se posmatraču čini da je neko položio
Mesec preko sunčevog diska, jer se Mesec nađe u direktnoj linji između
Sunca i Zemlje.
Postoji mogućnost da je Tales, koristeći analize prethodnih pomračenja,
predvideo novi ciklus. Smatrao je da se pomračenje Sunca i Meseca naizmenično
smenjuju u intervalu od 23 meseca i 15 dana. Iako je verovatnoća da se
ovo desi svega 57%, totalno pomračenje Sunca 585.godine se desilo tačno
23 meseca i 15 dana nakon totalnog pomračenja Mesca 4. jula 587. p.n.e.
Određivanje dugodnevnice i kratkodnevnice
Dugodnevnice i kratkodnevnice su prirodni fenomeni koji se se događaju
21. ili 22. juna, odnosno 21. ili 22 decembra, ali određivanje tačnog
datuma kada će se dogoditi je vrlo komplikovano.
To se dešava iz razloga što Sunce izgleda kao da stoji nekoliko dana zato
što ne postoji vidljiva razilka u njegovom položaju na nebu. To je razlog
zašto je određivanje datuma ravnodnevnice i dugodnevnice vrlo teško. To
je problem sa kojim se susretali prvi astronomi, ali ga je tek sedam vekova
kasnije uočio Ptolomej.
Nije poznato kako je Tales nastavio svoje određivanje, ali se smatra da
mu je u tome pomogla planina Mikale. Smatra se da je Tales posmatrao izlazak
i zalazak Sunca mnogo puta tokom sredine leta i sredine zime i, verovatno,
tokom mnogo godina. Planina Mikale, kako je najviša tačka u okolini Mileta,
predstavljala je najbolju poziciju za posmatranje. Druga metoda koju je
Tales možda koristio je da meri dužinu podnevnog Sunca tokom sredine leta
i zime. Ova metoda bi takođe zahtevala dugo posmatranje i beleženje podataka
tokom mnogo dana blizu perioda dugodnevnice i kratkodnevnice, tokom perioda
od nekoliko godina.
Otkriće godine
Talesu se pripisuje da je otkrio godinu i podelio je u 365 dana. Zato
što je otkrio dugodnevnicu i kratkodnevnicu on bio znao vremenski period
između, recimo, dve dugodnevnice, a samim tim i dužinu solarne godine.
Poznato je da su Egipćani znali za period od godinu dana po veoma pouzdanom
indikatoru, podizanju zvezde Sirijus u julu. Tales je možda saznanje o
godini dobio od Egipćana, i verovatno pokušao da pojasni to koristeći
drugačiju proceduru. Tales sigurno nije otkrio godinu, ali je možda napravio
vezu između dugodnevnice i kratkodnevnice, kretanja Sunca preko neba tokom
jedne godine, i povezao ovo sa sezonskim klimatskim promenama.
Mala kola
Talesu se pripisuje da je otkrio Mala kola. Pod ovim se podrazumeva da
prepoznao prednost navigacije po Malim kolima, u odnosu na Velika kola,
što je bio uobičajeni metdom navigacije kod Grka. Mala kola, sazvežđe
od šest zvezda, ima manju orbitu od Velikih kola, što znači, da kad kruže
oko Severnog pola, Mala kola manje menjaju svoj položaj u odnosu na Velika
kola. Tales je ponudio ovaj mudar savet pomorcima Mileta, kojima bi ova
teorija bila od velike važnosti, zato što su Milećani razvili pomorsku
trgovinu od velike važnosti.
MATEMATIKA
Praktična veština merenja površine je otkrivena u Egiptu zbog neophodnosti
čestog premeravanja poseda nakon uništilačkih pohoda ili nepogoda. Veruje
se da je Egipat bio izvor velike mudrosti i izveštaji govore da su mnogi
Grci, uključujući Talesa, Pitagoru, Solona,
Herodota, Platona, Demokrita i Euklida,
posetili ovu antičku zemlju kako bi sami videli čuda.
Egipćani su imali malo da ponude što se tiče apstraktnih misli. Ispitivači
su mogli da mere i računaju i imali su izvanredne praktične sposobnosti.
Tales je u Egiptu posmatrao ispitivače zemlje, koji su koristili čvorovito
uže da vrše svoja merenja, i bili su poznati kako rastezači užeta. Oni
su pored merenja dužine koristili to uže za merenje uglova.
Razvoj geometrije je sačuvan u radu Prokla. Proklo je obezbedio veliki
broj zanimljivih podataka. Te podatke, koji su potekli iz Egipta usled
čiste praktične potrebe, usvojio je Tales i preneo ih u Grčku.
Potvrđeno je da je Tales dobio znanja o osnovama geometrije iz Egipta.
Razlika je što su se veštine Egipćana ogledale u orijentaciji, merenju
i računanju, dok je Talesova jedinstvena sposobnost da daje određene karakteristike
linijama, uglovima i krugovima. Prepoznavao je, uočavao i “hvatao” određene
principe koje verovatno dokazivao kroz višestruke demonstracije.
Tales nije formulisao dokaze u formalnom smislu. Tales je izlagao određene
predloge, koji su, kako se čini, mogli biti dokazani indukcijom: posmatrao
je slične rezultate svojih proračuna, pokazao je ponavljanjem svojih eksperimenata
da su njegovi predlozi i teoreme tačni, i ako nijedan od njegovih proračuna
ne rezultuje u suprotnosti, osećao je da se ovaj rezultat mora prihvatiti
kao istina. Talesovi dokazi su često bili induktivne demonstracije. Proces
koji je Tales koristio je bio isprobavanje svih mogućih slučajeva. To
je dokaz da je Tales nekim problemima prilazio na klasičan način, dok
je većinu rešavao empirijskim putem.
TEOREME KOJE SE PREPISUJU TALESU
Za pet teorema Euklidske geometrije zasluge pripadaju Talesu, i dve od njih
je uspešno upotrebio za rešavanje praktičnih problema. U narednim redovima
dati su navodi tih teorema sa dokazima preuzeti iz “Euklidovih elemenata”.
Rimskim brojem je označen broj knjige Euklidovih elemenata, dok je drugi
broj redni broj teoreme u knjizi.
1. Definicija I.17.
Prečnik kruga je svaka prava što prolazi kroz središte
kruga, a ograničena je sa svake strane periferijom kruga; on polovi krug.

2. Teorema I.5.
Kod jednakokrakih trouglova uglovi su na osnovici
jednaki međusobno, a u slučaju produženja jednakih strana uglovi pod osnovicom
takođe moraju biti jednaki međusobno.
Tales je verovatno samo otkrio prvi deo ove teoreme, govoreći za uglove
da su slični, a ne jednaki, kako mu se činilo dok je posmatrao jednakokraki
trougao.

Dokaz:
Kod jednakokrakih trouglova uglovi su na osnovici jednaki međusobno,
a u slučaju produženja jednakih strana uglovi pod osnovicom takođe moraju
biti jednaki međusobno.
Neka je ABG jednakokraki trougao sa krakom AB jednakim kraku AG i neka
su prave BD i GE produženja krakova AB i AG. Tvrdim da je ugao ABG jednak
uglu AGB i ugao GBD uglu BGE.
Neka se na pravoj BD uzme proizvoljna tačka Z i prenese na veću duž AE
duž AH jednaka manjoj AZ, pa zatim povuku prave ZG i HB.
Pošto je AZ jednako AH i AB jednako AG, tj. pošto su dve strane ZA, AG
jednake odgovarajućim dvema stranama HA, AB i čine zajednički ugao ZAH,
to je osnovica ZG jednaka osnovici HB, i trougao AZG jednak trouglu AHB
i ostali uglovi jednaki odgovarajućim ostalim uglovima koji leže spram
jednakih strana, naime ugao AGZ uglu ABH i ugao AZG uglu AHB. I pošto
je cela duž AZ jednaka celoj duži AH, a duž AB je jednaka duži AG, biće
i ostatak, tj. duž BZ, jednak ostatku - duži GH. A ranije je pokazano,
da je ZG jednako HB. Prema tome dve strane BZ, ZG jednake su odgovarajućim
dvema stranama GH, HB i ugao BZG jednak je uglu GHB, a osnovica je ista
BG; trougao BZG biće jednak trouglu GHB, i ostali uglovi biće jednaki
odgovarajućim uglovima što leže spram jednakih strana; ugao ZBG biće prema
tome jednak uglu HGB i ugao BGZ uglu GBH. A pošto je, kako je pokazano,
ceo ugao ABH jednak celom uglu AGZ, a ugao GBH jednak uglu BGZ, to će
i ostatak - ugao ABG, biti jednak ostatku - uglu AGB; a ovi uglovi leže
na osnovici trougla ABG. A ranije je pokazano, da je ugao ZBG jednak uglu
HGB, a ovi se nalaze pod osnovicom.
Tako su kod jednakokrakih trouglova uglovi na osnovici jednaki međusobno,
a u slučaju produženja jednakih strana uglovi pod osnovicom takođe moraju
biti jednaki međusobno. A to je trebalo dokazati.
3. Teorema I.15.
Ako se dve prave seku, one obrazuju unakrsne uglove,
koji su jednaki jedan drugome.
Dokaz:
Neka se dve prave AB, GD seku u tački E. Tvrdim da je ugao AEG jednak
uglu DEB i ugao GEB jednak uglu AED.
Pošto prava AE, podignuta nad pravom GD, gradi uglove GEA, AED, ti su
uglovi zajedno jednaki dvama pravim uglovima. S druge strane, pošto prava
DE podignuta nad pravom AB gradi uglove AED, DEB, ti su uglovi zajedno
jednaki dvama pravim uglovima. Kako je ranije pokazano i uglovi GEA, AED
su zajedno jednaki dvama pravim uglovima, pa su prema tome uglovi GEA,
AEG jednaki uglovima AED, DEB. Kad se oduzme zajednički ugao AED, biće
ostatak - ugao GEA - jednak ostatku - uglu BED. Na sličan način se dokazuje
da su i uglovi GEB, DEA jednaki.
Tako, ako se dve prave seku, one obrazuju unakrsne uglove, koji su jednaki
jedan drugome. A to je trebalo dokazati.
(Zaključak. Iz prethodnog je jasno da, ako se dve prave seku, one grade
kod tačke preseka uglove, koji zajedno obrazuju četiri prava ugla.)
4. Teorema I.26.
Ako su kod dva trougla dva ugla jednog jednaki dvama
uglovima drugog, i to odgovarajućim, i jedna strana jednog jednaka jednoj
strani drugog ili ona na kojoj su jednaki uglovi ili ona što je spram
jednog od jednakih uglova, onda su i ostale strane jednake ostalim stranama,
i to odgovarajućim, a preostali ugao jednak je preostalom uglu.
Ova teorema je poslužila Talesu da odredi udaljenost od broda na moru
kao i da izračuna visinu piramide u Gizi. Uočavajući sličnost dva trougla
Tales je uveo koncept proporcije i njenu primenu kao generalnog principa.
Talesovo dostignuće merenja visine piramide je predivan primer primene
matematike u praksi.

Dokaz:
Ako pak AB nije jednako DE, onda je jedno od njih veće. Neka je veće
AB; tada se prenese BH jednako DE i povuče se HG.
Pošto je BH jednako DE i BG jednako EZ, znači da su dve strane BH, BG
jednake dvema stranama DE, EZ, i to odgovarajućim, i ugao HBG jednak uglu
DEZ, dakle i osnovica HG jednaka je osnovici DZ, a trougao HBG jednak
trouglu DEZ, i ostali uglovi su jednaki ostalim uglovima koji se nalaze
spram jednakih strana. Prema tome je ugao HGB jednak uglu DZE. Ali je
po pretpostavci ugao DZE jednak uglu BGA. Prema tome bi ugao BGH bio jednak
uglu BGA, manji većem, a to je nemoguće. Na ovaj način AB nije nejednako
DE, dakle jednako je. Ali i BG je jednako EZ. Prema tome su dve strane
AB, BG jednake dvema stranama DE, EZ, i to odgovarajućim, i ugao ABG jednak
je uglu DEZ, usled čega je i osnovica AG jednaka osnovici DZ i preostali
ugao BAG jednak preostalom uglu EDZ.
Neka su sad jednake strane, koje su spram jednakih uglova, naime AB jednaka
strani DE. Tvrdim da su i ostale strane jednog jednake ostalim stranama
drugog, i to odgovarajućim, naime strana AG strani DZ, strana BG strani
EZ i preostali ugao BAG jednak je preostalom uglu EDZ.
Ako pak BG nije jednako EZ, onda je jedna od njih veća. Neka je veće,
ako je moguće, BG; tada se na BG prenese BQ jednako EZ, i povuče AQ. Pošto
je BQ jednako EZ, a AB jednako DE, to su dve strane AB, BQ jednake dvema
stranama DE, EZ, i to odgovarajućim, a čine jednake uglove. Pa prema tome
je osnovica AQ jednaka osnovici DZ, i trougao ABQ jednak trouglu DEZ,
i ostali uglovi jednaki ostalim uglovima, koji su spram jednakih strana.
Prema tome je ugao BQA jednak uglu EZD. Ali je ugao EZD jednak uglu BGA.
Usled toga bi u trouglu AQG spoljašnji ugao BQA bio jednak unutrašnjem
nesusednom BGA, a to je nemoguće. Na ovaj način BG nije nejednako EZ,
znači da je jednako EZ. Ali je i AB jednako DZ. Prema tome su dve strane
AB, BG jednake dvema stranama DE, EZ, i to odgovarajućim, i one grade
jednake uglove, i osnovica AG jednaka je osnovici DZ, i trougao ABG jednak
trouglu DEZ i preostali ugao BAG jednak preostalom uglu EDZ.
Na ovaj način, ako su kod dva trougla dva ugla jednog jednaki dvama uglovima
drugog, i to odgovarajućim, i jedna strana jednog jednaka jednoj strani
drugog ili ona na kojoj su jednaki uglovi ili ona što je spram jednog
od jednakih uglova, onda su i ostale strane jednake ostalim stranama,
i to odgovarajućim, i preostali ugao preostalom uglu. A to je trebalo
dokazati.
5. Teorema III.31.
U krugu je ugao u polukrugu prav.
Diogen iz Laerte je zabeležio: “Učeći geometriju
Egipćana Tales je uspeo da upiše pravougli trougao u krug i u čast
tog otkrića, žrtvovao je vola.”

Dokaz:
Neka ABGD bude krug, BG je njegov prečnik, tačka E centar; pa povucimo
BA, AG, AD, DG. Tvrdim da je ugao BAG u polukrugu BAG prav.
Povucimo AE i produžimo BA do Z.
Pošto je BE jednako EA, biće ugao ABE jednak uglu BAE. Dalje, pošto je
GE jednako EA, ugao AGE je jednak uglu GAE. Odavde je ceo ugao BAG jednak
zbiru dvaju uglova ABG i AGB. Međutim i ugao ZAG, kao spoljašnji ugao
trougla ABG, jednak je zbiru dvaju uglova ABG i AGB. Prema tome je ugao
BAG jednak uglu ZAG, što znači da je svaki od njih prav. Na taj način
je ugao BAG u polukrugu BAG prav.
Euklidov dokaz Talesove teoreme
Pomenuti stav o proporcionalnosti ivica dvaju trouglova kojima su podudarni
odgovarajući uglovi , kako smo istakli, Euklid dokazuje u šestoj knjizi
Elemenata.Pored ovog, on dokazuje i preostala tri stava o sličnosti trouglova.Pre
njih, na temelju Eudoksove geometrijske teorije proporcija utemeljene
u petoj knjizi Elemenata, na samom početku šeste knjige on dokazuje da
’’Trouglovi i paralelogrami iste visine se odnose
jedan prema drugom kao osnovice ’’,
A odavde izvodi osnovni stav sličnosti prema kojem
’’Ako je u trouglu povučena neka prava paralelno
jednoj od strana, ta prava seče ostale strane proporcionalno; i ako su
strane trougla presečene proporcionalno, prava što spaja presečne tačke
paralelna je preostaloj strani trougla.“
Ovaj stav obično nazivamo Talesovom teoremom ili osnovnim stavom sličnost.
Euklid ga dokazuje na veoma jednostavan način.
’’Neka je u trouglu ABC povučena prava DE paralelno BC, jednoj od strana
trougla.Tvrdim da je BD prema DA kao CE prema EA.
Povuku se BE,CD.
Trougao BDE je jednak trouglu CDE jer oni imaju iste osnovice DE, a između
istih su paralelnih DE, BC. A trougao ADE je nešto drugo. Kako su sad
jednake veličine prema istoj veličini u istoj razmeri, i trougao BDE je
prema trouglu ADE kao trougao CDE prema trouglu ADE.Ali trougao BDE je
prema trouglu ADE kao BD prema DA , pošto imaju istu visinu, normalu spuštenu
iz E na AB, i odnose se kao osnovice.Iz istih razloga trougao CDE je prema
trouglu ADE kao CE prema EA.I tako je BD prema da kao CE prema EA.

Neka su sad strane AB I AC trougla ABC presečene proporcionalno, da je
BD prema DA kaoCE prema EA, i neka je povučeno DE.Tvrdim da je prava DE
paralelna pravoj BC.
Zaista, na osnovu iste konstrukcije, pošto je BD prema DA kao CE prema
EA, a BD prema DA kao što je trougao BDE prema trouglu ADE, i CE prema
EA kao trougao CDE prema trouglu ADE, zaključujemo da je trougao BDE prema
trouglu ADE kao trougao CDE prema trouglu ADE. Znači, dakle, trougao BDE
jednak je trouglu CDE.A pri tome imaju istu osnovicu DE. Kako jednaki
trouglovi sa istom osnovicom leže između istih paralelnih, zaključujemo
da je DE paralelno BC.
Na ovaj način, ako je u trouglu povučena neka prava paralelno jednoj od
strana, ta prava seče ostale strane proporcionalno; i ako su strane trougla
presečene proporcionalno, prava što spaja presečne tačke paralelna je
preostaloj strani trougla. A to je trebalo dokazati. ’’
Kraće zapisano, iz pretpostavke da su prave BC i DE paralelne, Euklid
izvodi da je
,
Zato što se površine dvaju trouglova koji imaju istu visinu, odnose,
jedna prema drugoj, kao osnovice tih trouglova, a trouglovi sa istom osnovicom
i visinom imaju istu površinu.
Obratno, ako se pretpostavi da je

biće i
,
pa trouglovi BDE i CED koji imaju zajedničku ivicu DE, imaju
istu i visinu, tj. prave BC i DE su paralelne.
TALESOVA TEOREMA
Sada možemo da dedukujemo Talesovu teoremu iz prethodnih stavova koji
se odnose na proporcionalnost duži. Formulišemo je na način kako se to
obično čini u srednjoj školi, kao Talesovu i obratnu Talesovu teoremu.
Neka se prave α i b seku u tački S i neka su p i p’ dve prave
koje ne sadrže S i seku, redom, prave α, b u tačkama A, B i A’ , B’ .
Ako su p i p’ dve međusobno prave prave, tada je
SA : SA’ = SB : SB’ = AB : A’B’
Zaista, iz paralelnosti pravih p i p’ sledi podudarnost
odgovarajućih uglova trouglova SAB i SA’B’ , pa su ti trouglovi slični
na osnovu drugog stava o sličnosti trouglova. Stoga su im ivice proporcionalne.

Slika : Talesova teorema
Obratno, ako prave α i b nisu međusobno upravne i ako je
SA : SA’ = SB : SB’ = AB : A’B’
p i p’ su međusobno paralelne prave, a ako su upravne, p i p’ će biti
međusobno paralelne prave kada su tačke A i A’ sa iste strane tačke S
ako i samo ako su B i B’ sa iste strane te tačke.
Zaista, ako bi prava koja sadrži tačku A’ i paralelna je pravoj AB,
sekla pravu b u nekoj tački B’’ bilo bi SA : SA’ = SB : SB’’ , a kako
je SA : SA’ = SB : SB’ , tačke B’ i B’’ biće istovetne.
NEKE ZANIMLJIVE PRIČE
Merenje visine piramide
Priče o Talesovom načinu da utvrdi visinu piramide variraju. Prva verzija
potiče od Diogena iz Laerte, koji govori da je Tales posmatrao dužinu
senke piramide u trenutku dana kada je naša visina jednaka dužini naše
senke.
Plutarh piše: “Pored tvojih podviga zadivio si ( Amazisa ) svojim
merenjem piramide kada si, bez pomoći kakve sprave samo postavio štap
na granici bačene senke piramide, načinivši dva trougla pod dejstvom sunčevih
zraka, pokazao da se piramida prema štapu odnosi kao njena senka prema
njegovoj“.
Prva od ovih verzija je verovatno originalna, i podrazumeva znatno jednostavniju
proceduru za rešavanje problema. Talesu nije mogao da ne uoči da u trenutku
kada je senka jednaka visini određenog objekta, ista relacija važi za
sve objekte koji imaju senku. Uzastopnim merenjem raznih objekata i njihovih
senki morao je da utvrdi pravilnost.
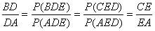
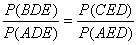
Merenje udaljenosti broda na moru
Još jedna izvanredna primena sličnosti trouglova, za nalaženje rastojanja
broda na moru od bilo kog mesta na obali. Merenje te udaljenosti podrazumeva
konstrukciju na kopnu trougla A’BC sličnog trouglu B’AC kome je jedno
teme B’ udaljeni brod na moru. Rastojanje broda B’ od tačke na kopnu A
biće onoliko puta veće od rastojanja tačaka A i C koliko je puta rastojanje
tačaka A’ i B veće od rastojanja tačaka B i C.

Pad u bunar
Često pominjana priča u vezi sa Talesom je događaj kada je bio toliko
okupiran posmatranjem zvezda da nije primetio bunar ispred sebe i upao
u njega. Govori se da je sve to videla jedna žena koja je tom prilikom
upitala Talesa: “Da li ti, Talese koji ne vidiš ni ono što ti je pred
očima, misliš da možeš da razumeš šta se događa na nebesima ?“. To samo
govori koliko je Tales imao interesa za stvari bitne za napredak čovečanstva,
da je često zanemarivao svakodnevna događaje.
Rod maslina
Talesova reputacija mudrog čoveka je dodatno dobila na značaju nakon
sledećeg događaja. Kako prenosi Aristotel, posmatranjem nebeskih tela,
Tales je zaključio da će biti obilan rod maslina. Sakupio je novac za
kupovinu presa za masline, tako da kada je žetva bila spremna, prodao
ih je po ceni koja mu je donela veliki profit. Na taj način je odgovorio
onima koji su mu prigovarali zbog njegovog siromaštva, ali i pokazao da
je znanje koje poseduje primenljivo u praktičnim situacijama.
TALESOV ZNAČAJ
Tales je prvi koji je ponudio objašnjenja za priridne pojave koja nisu
imala veze sa mitologijom i crkvenim verovanjima. Njegove misli su bile
nove, smele, i uzbudljive. Nije pričao u zagonetkama, i nije posezao za
izmišljanjem nedefinisanih supstanci. Mnogi su pokušavali da ga diskredituju,
ali njegove hipoteze su bile racionalne i naučno zasnovane.
Najbitnije stvari koje je Tales ostavio u nasleđe su: traganje za znanjem
radi njega samog; razvoj naučnog metoda; razvoj praktičnih metoda u opšte
principe; njegova radoznalost i direktan prilaz prirodnim pojavama. U
šestom veku p.n.e. Tales je postavio pitanje: “ Od
čega je sazdan kosmos? ”.
Za odgovorom se i dalje traga.
LITERATURA
1. Sir Thomas Heath, “ A history of Greek mathematics “-Volume I, Dover
publicatios, Inc., New York, 1981.
2. B.L. Van der Waerden, “ Science awakening “, P.Noordhoff, Groningen,
1954.
3. Zoran Lučić, “ Ogledi iz istorije geometrije “, Preliminarna verzija
4. J.J. O’Connor i E.F.Robertson, Thales of Miletium, preuzeto sa Internet
adrese-www.groups.dsc.st-and.co.uk, 1999.
5. Patricia O’Grady, Thales of Miletium, preuzeto sa Internet adrese-www.utm.edu.,
2004.
6. Kathleen Morton, Thales of Miletium, preuzeto sa Internet adrese-www.perseus.tufts.,
1995.
7. Don Allen, Thales of Miletium, preuzeto sa Internet adrese-www.math.edu.,
1997.
8. EUKLID, Elementi, Naučna knjiga, Beograd, 1957.
PROČITAJ
/ PREUZMI I DRUGE SEMINARSKE RADOVE IZ OBLASTI:
|
|
preuzmi
seminarski rad u wordu » » »
Besplatni
Seminarski Radovi
|
|